日本av无码-日本成人无码-日本无码影片
2026年硕士研究生拟录取名单公示
浏览量:
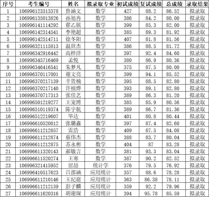
现将我院2026年硕士研究生招生考试拟录取名单公示如下:

公示时间7个工作日,若对拟录取情况有异议,请于公示期内与我院相关人员进行联系。
咨询电话:029-88431694
咨询邮箱:[email protected]
日本av无码-日本成人无码-日本无码影片
2026年4月1日

英文


微信二维码